為方便大家深入了解PID算法,快速掌握PID參數整定方法,昌暉儀表在本文分享PID形式、兩自由度PID、不完全微分、積分飽和和變比例增益PID方面的專業知識,希望對你有所幫助。
1、PID形式
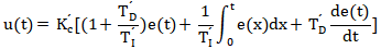
本文中使用的PID形式又稱為非交互式PID算法、ISA形式、標準形式或理想形式。昌暉儀表后面的分析都是基于這種形式的PID算法。標準形式的PID算法在文章《PID參數影響分析》詳細介紹過,標準PID控制算法的微積分方程為:

既然有圖1所示的非交互式PID,就有圖2所示的交互式PID,而且交互式PID出現得更早,是早期PID應用的主要形式。


最初的PID算法都是基于某些氣動和機械設備設計的。比例控制是當時占主導地位的控制技術,PID控制器經過模塊化設計,使得積分作用和微分作用是控制器中獨立的硬件模塊,除了純比例作用之外,使用積分作用和微分作用模塊還要付出額外的成本。實現積分作用和微分作用的最簡單方法是一種恰好對控制器增益具有交互作用的方法,這種形式也稱為串聯形式。換句話說,這種算法形式是為了簡化控制器的物理設計而做出的一種折中。串聯形式PID控制器的微積分方程為:

式中
為交互式PID控制器的比例增益;
為交互式PID控制器的積分時間;
為交互式PID控制器的微分時間。
交互式PID控制器總是可以表示為非交互式PID控制器,其系數為:

交互式PID控制器,對應于非交互式PID控制器,當且僅當:TI≥4TD,那么:

早期的氣動控制器使用交互式PID更容易構建。遵循慣例是很多控制系統一直保留著交互式PID的原因。
不同的控制系統可能有不同形式的PID。這意味著,如果控制回路中的控制器被另一種類型的控制器所取代,則可能需要重新計算控制器參數以保證閉環性能不變。PID控制器只有同時使用積分作用和微分作用時,交互式和非交互式才不同。如果PID控制器只用作比例、比例積分或比例微分控制器,這兩種形式等價。
PID算法的另一種形式是并聯式,其微積分方程為:

式中Kc為并聯式PID控制器的比例增益; KI為并聯式PID控制器的積分增益;KD為并聯式PID控制器的微分增益。
并聯式PID等價于標準形式PID,但參數值有很大的不同。這可能會給沒有意識到差異的人帶來麻煩,特別是參數KI被稱為積分時間、參數KD被稱為微分時間時。因為參數是獨立出現的,所以并聯式PID所給出的形式在解析計算中是有益的。這種表示法還有一個優點,就是可以通過參數設置獲得純比例、純積分或純微分作用。
下面是并聯式PID參數與標準形式PID參數的關系:

綜上所述,實際應用中有三種不同形式的PID控制器:①標準式或非交互式;②串聯或交互式;③并聯式。

標準式有時被稱為ISA形式或理想形式。比例作用、積分作用和微分作用在時域中是互不影響的。并聯式是最一般的形式,因為純比例或純積分作用可以用參數設置得到,是最靈活的形式。然而,它也是一種參數幾乎沒有物理解釋的形式。
2、兩自由度PID
PID控制系統的特點是形成一個偏差,即設定值和過程變量之間的差值:控制器通過對偏差處理產生控制器輸出,然后將控制器輸出作用到過程中。因為控制器是基于偏差運算的,所以這樣的系統被稱為“偏差反饋系統”。實踐經驗和科學分析都表明抗擾最強的PID參數,設定值階躍變化時閉環控制系統會振蕩,通過將設定值和過程變量分開處理,可以得到一種更靈活的結構來解決這個問題。式給出了PID控制器的改進形式-兩自由度PID控制器。

比例部分的偏差: eP=b×SP-PV, 式中,e為比例部分偏差;b為比例作用設定值加權系數。
微分部分的偏差:eD=c×SP-PV, 式中,eD為微分部分偏差;c為微分作用設定值加權系數。
積分部分中的偏差必須是真正的偏差:e=SP-PV。
為了避免穩態偏差,不同的b和c值所得到的控制作用將以相同的方式響應負載擾動和測量噪聲。然而,對設定值階躍變化的響應將取決于b和c的值。b=0和c=0時,只在積分項中引入設定值信息,對設定值階躍變化的響應最平緩。
參數c通常選擇為零,以避免微分作用于設定值時,控制輸出由于設定值的階躍變化而出現大的瞬時變化。
b=0和c=0的控制器被稱為I-PD或者比例微分先行,b=1和c=0的控制器被稱為PI-D或者微分先行。選擇b=0時,設定值跟蹤性能可能不能滿足要求。如果既關注設定值跟蹤性能又關注抗擾能力,可以選擇O≤b≤1和較強的PID參數,考慮到設定值階躍變化時的響應特性,推薦b=0.5。
一般來說,一個控制系統有許多不同的要求。它應該對設定值的變化有良好的瞬態響應,并且能夠克服負載擾動和測量噪聲,而且控制器輸出不能過度動作。對于只有偏差反饋的系統,嘗試用相同的機制來滿足所有的要求,這樣的系統稱為單自由度系統。兩自由度PID通過為設定值和過程變量設置不同的信號路徑,有更大的靈活性來滿足控制要求。微分作用加權系數c往往選擇為0即可。比例作用加權系數b則需要根據PID參數和設定值跟蹤的要求綜合評判。如果PID參數整定得非常弱又想改進設定值跟蹤能力,b也可能大于1,這種選擇要非常謹慎。
3、不完全微分
如果存在高頻測量噪聲,理想微分作用會使控制器輸出高頻大幅振蕩。因此微分項的高頻增益應受到限制,以避免這個問題。這可以通過如下方式修正微分作用來實現:

式中,D為微分作用;N為微分增益。
這種修正可以解釋為理想微分被一個時間常數為TD/N的一階系統濾波,這個近似作為低頻信號分量的微分。而增益最大限制為KcN,這意味著高頻測量噪聲最多被放大KcN倍,N的典型值為8~20。
實際工業PID控制器中大多使用不完全微分,不完全微分的微分時間的影響和理想微分形式的微分作用顯著不同。引入不完全微分后,微分輸出在第一個采樣周期的脈沖高度下降,然后按一階過程逐漸衰減。所以不完全微分有效地克服了理想微分形式的缺點,具有更好的實用特性。微分作用最初被稱為“預作用”實際上就是不完全微分。理想微分不完全化可以理解為理論到實踐的具體可行實現,不完全微分的理想化處理可以理解為從實踐到理論的抽象。理論和實際的差別增加了微分作用整定的難度。
4、積分飽和
所謂積分飽和現象,是指若系統存在一個方向的偏差,PID控制器的輸出由于積分作用的不斷累加而加大,從而導致最終控制元件達到極限位置。此后若控制器輸出繼續增大,最終控制元件也不會再增大,即系統輸出超出正常運行范圍而進入了飽和區。一旦出現反向偏差,最終控制元件逐漸從飽和區退出。進入飽和區越深,則退出飽和時間越長。此段時間內,最終控制元件仍停留在極限位置而不能隨著偏差反向立即做出相應的改變,這時系統就像失去控制一樣,造成控制性能惡化。這種現象稱為積分飽和現象。
模擬PID控制器制造商發明了一些技巧來避免積分飽和。這些技巧通常被視為商業機密,很少被提及。在數字PID控制器時代,當控制器算法的輸出超過范圍時可以只取邊界值,如果采用增量型或速度型算法,每次計算出應調整的增量值,當控制作用量將超過額定高低限值時,則保持在高限值或低限值,這樣當偏差減小或改變方向時,控制器輸出就能更快脫離高限值或低限值。所以增量形式的PID算法基本上不會出現積分飽和現象。
5、變比例增益PID
在先進控制里有個非常重要的范圍控制的概念。簡單說就是過程變量在范圍高低限以外時首先把過程變量控制到范圍內,等過程變量回到范圍內后,如果沒有優化要求則操縱變量停止控制作用,如果過程變量還有一個最優的目標,則可以緩慢的速度(例如六分之一的控制速度)進行優化。優化的方向有時候和控制的方向相反,使用更慢的優化速度可以確保優先進行控制。在PID控制回路中使用變比例增益PID來實現。

式中,Kgap為控制器最終增益;Cgap為變增益系數。
當Cgap=0時,過程變量進入范圍后操縱變量停止控制,此時也稱為死區PID。當Cgap=1/6時,過程變量進入范圍后以1/6的控制速度向設定值優化。這個設定值可以固定不變,也可以來自其他控制回路。變增益PID有效地提高了控制性能,降低了范圍內的優化速度。
