目前生物、制藥、食品等行業對流體流量的測量有采用浮子流量計、渦輪流量計、孔板流量計、V錐流量計、渦街流量計、電磁流量計和科氏力流量計等。但由于這些衛生型行業的特殊要求,使得這些流量裝置在應用中存在一定的局限性,或不能滿足衛生級需求或應用成本過高。衛生型差壓式流量計是利用流體通過節流件形成壓差的工作原理,其管道、殼體均采用316L不銹鋼材質,內外拋光處理,并且內部節流裝置采用無死角設計,從而極大地降低了微生物滋生風險。因此其可以達到GMP標準的衛生級要求,可以廣泛應用于生物、制藥、食品等行業。
如下圖1所示:差壓式流量計左側部分為衛生級不銹鋼殼體,右側部分為電子部件腔體。不銹鋼殼體為一個直通式管道,內部采用無縫隙、無死角設計。直通式管道內部表面經過衛生級拋光處理。在直通式管道內設置一個差壓傳感器膜盒,從而形成節流裝置,將差壓傳感器膜盒的正側面面向流體的流動方向,差壓傳感器膜盒的負側面平行于流體的流動方向。當流體流經這個直通式管道式時,由于管道內部差壓傳感器膜盒的節流效應,使得差壓傳感器膜盒的正負側形成壓力差。而差壓傳感器膜盒內部設置有差壓測量芯片、靜壓測量芯片和溫度測量芯片,使其能夠測量獲得差壓傳感器膜盒正負側的壓差信號、管道的靜壓信號和流體的溫度信號。

圖1 衛生型差壓式流量計
一些現代智能壓力變送器產品,增加了內部溫度傳感器,用于修正環境溫度變化引起的熱影響。
◆準確度規格
流量測量精度等級:0.3級、0.5級、1級
壓力測量精度等級:0.5級
溫度測量精度:±0.3℃
◆流量測量規格
A: 0-3m3/h;B:0-5m3/h;C:0-7m3/h;D:0-10m3/h;E:0-15m3/h;F:0-20m3/h
◆工作壓力測量規格
A:0-10bar;B:0-20bar
◆介質溫度測量規格
A:0-100℃;B:0-150℃
◆輸出信號
流量、溫度、壓力分別有4-20mA標準輸出,可加載485通訊或HART數字通訊。
常規差壓式流量計(如標準孔板、標準噴嘴、長頸噴嘴、經典文丘里管等)是以伯努利方程和流體連續性方程為依據。根據節流原理,當流體流經標準節流裝置時,在其前后產生產生壓差,此差壓值與該流量的平方成正比。
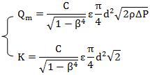
參考國際標準ISO5167-1(1991)和我國的標準GB/T262493,可以給出這些差壓式流量計的推理公式為:


此公式式中:Qm為流量,m3;K為流量常數;ρ為流體的密度,kg/m3;ΔP為傳感器所測的差壓值,kPa;ξ為可膨脹系數;d為工作條件下節流件或喉部直徑,m;D為工作條件下上下游管道內徑,m;β為直徑比,β=d/D;C為流出系數。
衛生型差壓式流量計從測量原理上來看,也是屬于差壓式流量計的一種,其計算模型和標準節流裝置差壓式流量計是相同的,即

以上為衛生型差壓式流量計的設計(上)的內容,歡迎各位持續關注技術文庫的文章。
