分程控制是工程設計中一種常見的控制方式,實際應用中控制效果的好壞與分程點設置有著直接的關系,因此確定分程點也成為分程控制設計中的關鍵節點。昌暉儀表在本文介紹分程控制的分程點計算和確定方法,希望對儀表工有所幫助。
1、分程控制簡述
1.1 分程控制定義
分程控制系統是工業裝置中常用的復雜控制系統之一,它不同于一個PID調節器只控制一個調節閥的簡單控制系統,而是由一個調節器的輸出去帶動 2個或2個以上的調節閥。在工業裝置中,分程控制的作用主要有2個:一是擴大控制閥的可調范圍,以便改善控制的品質;二是為了滿足某些工藝操作的特殊需要。
1.2 分程控制的形式
根據分程控制系統中調節閥的開關動作方向的一致性,可將分程控制分為2個主要形式:
第一是分程控制系統中的調節閥開關動作方向相同。當PID調節器輸出增大時,各調節閥開度增大,如圖1所示;當PID調節器輸出增大時,各調節閥開度減小,如圖2所示。調節閥同向動作的分程控制系統常用于擴大流量管路閥門可調范圍及提高控制質量的應用場合。

圖1 分程控制-閥門同向動作(開度增大) 圖2 分程控制-閥門同向動作(開度減小)
第二是分程控制系統中的調節閥開關動作方向相反。當PID調節器輸出增大時,一個調節閥開度減小,另一個調節閥開度增大,如圖3、圖4所示。調節閥異向動作的分程控制系統常用于工藝特殊要求的應用場合。

圖3 分程控制-閥門反向動作(正V型) 圖4 分程控制-閥門反向動作(反V型)
2、儀表工如何計算分程點?
對于分程控制系統,分程點計算就是在PID調節器0-100% 的輸出中找到某一點x,使得閥門A在PID調節器0-x%輸出段中工作,閥門B在PID調節器x%-100% 輸出段中工作,同時點x需使閥A和閥B切換時整個流量管路不出現分程點流量突變,應盡量保持整個系統的流量特性曲線平滑。在實際應用中,分程點的確定大多通過現場試驗獲取,或者根據同類裝置設計經驗估算。昌暉儀表將從理論計算的角度推導出分程點的數學公式。
調節閥異向動作的分程控制系統常與工藝特殊操作聯系一起,分程點的確定需根據工藝操作要求而定,文中只討論調節閥同向動作的分程控制系統的分程點計算,為方便描述,約定閥A總是先于閥B調節。
2.1 線性流量系統
對于2個線性流量特性閥門并聯組成的分程控制系統,其單個閥門的流量特性為線性,根據《工業控制閥門》IEC60534中閥門線性流量特性的定義,閥門流通能力與閥門開度的計算公式為:
...........................公式(1)
公式(1)中C為閥門流量系數,k為常數,l為閥門開度(取值為0-1),C0為閥門最小可控流量。
根據線性可疊加原則,并聯后管路總流量最大為2個閥門最大流量相加,最小流量為單個閥門最小可調節流量。為計算線性流量特性閥門組成的分程控制系統分程點,推導過程中需忽略并聯管路流量特性畸變以及閥門最小可控流量的影響。閥門的最小可控流量會產生不可消除的固有跳變,然而在實際使用過程中,對一般的分程控制系統來說,這個跳變對工藝操作的影響是不大的。A和B兩個線性流量特性閥門并聯后管路總的流量曲線定義為如下函數:
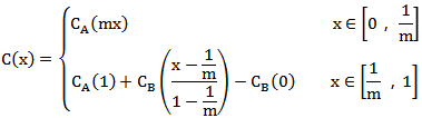
............................公式(2)
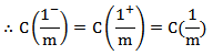
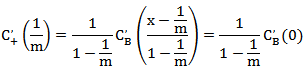
公式(2)中:C(x)為總管路流量函數;CA和CB分別為閥門A和B的流量函數,且均為線性函數;x為0-1間的變量,對應于閥門0-100%的開度;CA(1)為閥 A最大流量;m為不為零的實數;CB(0)為閥B的最小可控流量,1/m為線性流量系統的分程點。
閥門A和B的切換點需使管路總流量曲線在PID調節器0-100%輸出范圍內流量調節連續且無突變(忽略最小可控流量引起的跳變),從數學角度分析,即該曲線應連續。
根據函數連續的定義,公式(2)中函數C(x)在點1/m處的極限存在且等于該點的函數值,即可判斷該函數連續。



由上述推導可得出管路總流量函數C(x)在0-1封閉區間內連續。
對于并聯管路總流量曲線,工藝操作要求該曲線平滑無突變。昌暉儀表選取2個線性流量特性控制閥A和B,最大流量CA,max為200,CB,max為450,可調比R均為50,在PID調節器輸出區間選擇不同分程點,總管路流量曲線如圖5~圖7所示。從圖5~圖7可以看出,圖中所示的總流量曲線均連續,而且圖6所示曲線在PID調節器輸出區間內平滑且調節性能最好。從數學的角度來看圖6曲線在調節器輸出區間可導,管路系統總的流量特性依然為線性。轉換為數學計算也就是對公式(2)求取m值,使得在1/m點處管路總流量函數連續且可導。

圖5 線性流量系統-16.7%分程點 圖6 線性流量系統-30.7%分程點

圖7 線性流量系統-50%分程點
根據函數可導的定義,函數C(x)在1/m點處可導,即要求函數C(x)連續,同時在1/m點處的左導數和右導數存在且相等。
對于公式(2)中函數C(x),閥門A和B均為線性流量特性,其流量函數均為線性,左導數和右導數均存在。
為求取分程點,令公式(2)中函數C(x)在1/m處的左導數等于右導數,則有:



..............................公式(3)
公式(3)則為2個線性流量特性閥門組成的分程控制系統的分程點理論計算公式,將該公式應用于前述舉例的閥門A和B中,計算分程點。
根據閥門參數及公式(1)可得:


對閥門A和B流量函數求取導數:


根據公式(3)可計算m值為:
..............................公式(4)
將閥門參數代入公式(4)中,由此可得分程點1/m為30.7%,總流量特性曲線如圖6所示。
該方法在公式推導中忽略了閥門最小可控流量的影響,實際上通過引入修正參數也可以做更嚴密的推導,但是其計算結果相差很小。文中不列出詳細推導過程。
2.2 等百分比閥門管路系統
對于2個等百分比流量特性閥門并聯組成的分程控制系統,其單個閥門的流量特性為等百分比,根據《工業控制閥門》IEC60534中閥門等百分比流量特性的定義,閥門流通能力與閥門開度的計算公式為:
.................................公式(5)
公式(5)中:C為閥門流量系數,k為常數,l為閥門開度(取值為0-1),C0為閥門最小可控流量。
對于2個等百分比閥門并聯的分程控制系統分程點的計算,應用類似于線性流量系統的方法,考慮閥門A和B合并后的總管路流量曲線的連續和可導性,經過計算發現該方法并不適用于等百分比系統,因為合并后的總管路流量特性曲線并不可導。這是因為閥A流量曲線為指數函數,從指數函數的圖形上可以看出,在PID調節器輸出區間內任意點處其右極限數值很大,而閥B流量曲線上的左極限卻很小,數值上不可能相等。
為了計算等百分比閥門管路系統的分程點,昌暉儀表引入一種新的工程處理方法。并聯管路上的2個閥門A和B均為等百分比流量特性,把該并聯管路看成一個整體,工程應用中期望總管路的調節特性也為等百分比。不考慮管路系統流量畸變以及閥門最小可控流量的影響,管路最大調節流量為閥門A和B最大流量的加和,管路最小調節流量為閥門A最小可控流量。根據上述思路,可推導出并聯管路的總流量特性曲線。該曲線表征了工藝操作期望的調節特性,也為指數函數,是一條假設的曲線。并聯管路實際調節過程分為兩段,PID調節器某一區間先調節閥門A開度,閥門B保持開度,而在另一區間,閥門A保持開度,調節閥門B開度。為了使期望的流量曲線與實際調節過程曲線路徑偏差最小,通過計算曲線偏差面積,得出并聯管路總流量曲線上與閥門A最大流量相等流量值對應的PID調節器輸出值即為最優分程點。
昌暉儀表選取2個等百分比流量特性控制閥A和B,最大流量CA,max為200,CB,max為450,可調比R均為50,在PID調節器輸出區間使用不同分程點,總管路流量曲線如圖8~圖10所示。從圖中可以看出與90%和50%分程點圖相比,當選擇76.8%為分程點時,期望曲線(實線)與實際調節流量曲線(點劃線)間的面積差最小,且看上去更平滑。

圖8 等百分比流量系統-0.9分程點

圖9 等百分比流量系統-0.768分程點

圖10 等百分比流量系統-0.5分程點
根據公式(5),閥門A和B的流量特性公式為:


并聯管路總流量特性公式為:
..............................公式(6)
公式(6)中PID調節器輸出為0(0%)時,并聯管路中流量為閥門A最小可控流量,即:
................................公式(7)
公式(7)中PID調節器輸出為1(100%)時,并聯管路中流量為閥門A和B最大流量的加和,即:
................................公式(8)
將公式(7)和公式(8)代入公式(6) 中可得:


求分程點也即是求點 l0使得:
即:
解得:
................................公式(9)
實際上,公式(9)中分子CA(1)為閥門A最大流量,CA(0)為閥門A最小可控流量,其比值實際為閥門A的可調比RA。同理,分母CA(1)+CB(1)為并聯管路最大流量,也即為閥門A和閥門B的最大流量之和,CA(0)為閥門A最小可控流量,其比值實際為并聯管路期望特性流量的可調比R,因此,公式(9)可進一步簡化為:
....................................公式(10)
或
................................公式(11)
公式(10)或公式(11)則為2個等百分比流量特性閥門組成的分程控制系統的分程點計算式,將該公式應用于前述舉例的閥門A和B中,計算分程點。
將閥門A和B的參數代入公式(10)或公式(11)中得:

0.768分程點對應的總管路流量曲線圖如圖9所示。
3、總結
在工程設計中分程控制系統應用非常廣泛,但是分程點的確定卻是棘手的問題。昌暉儀表通過理論分析,從數學的角度分別給出了線性流量特性和等百分比流量特性閥門并聯組成的分程控制系統的分程點計算公式。計算公式非常簡單適用,僅需將閥門參數簡單代入即可,計算量小,對于提高自控專業工程設計效率有較大的幫助,同時對裝置投運過程中分程控制調試具有指導意義。昌暉將該計算方法應用于多個PTA裝置設計,與實際運行數據對比,理論計算值與實際運行參數基本一致,達到預期控制效果。
另一方面,關于分程控制分程點計算,還有很多值得研究的問題:昌暉儀表僅提出了2個閥門并聯的管路分程點計算,對于3個或更多閥門并聯的管路分程點計算還可以做進一步推導;昌暉儀表采用閥門的理論流量曲線做公式推導,對于實際應用的閥門,其流量特性與理論曲線有一定的差別,尤其是偏旋、蝶閥等類型閥門,因此還可通過閥門供貨廠商手冊或測試采樣擬合閥門流量特性曲線,以保證計算值更貼近于實際工況。
關于分控控制的分程點計算及確定方法分享到此結束,如果你需要了解更多分程控制和分程點相關知識,可以在本頁面右上角搜索框內輸入“分程控制”進行搜索。
作者:馮勇軍(碩士,主要從事化工工程設計及自控專業設計)
